Nelder-Mead Method in VBA

Nelder-Mead method is a derivatives-free numerical minimization (maximization) algorithm that is popular among practitioners.  In today’s post I will introduce the algorithm, briefly discuss ways it can be modified to suit various optimization problems and implement a variation of the algorithm in VBA. The Algorithm: Since Nelder-Mead (NM) is a derivatives-free algorithm it can be … More Nelder-Mead Method in VBA

Pattern Recognition with Neural Network in Excel (a toy example)

Today we wanted to add a short follow up on our previous post on artificial neural networks. The example which we gave of training an ANN on XOR function probably appears to be very trivial for the readers. Today we want to show another example that may highlight how neural networks can be used to … More Pattern Recognition with Neural Network in Excel (a toy example)

Artificial Neural Network with Backpropagation Training in VBA

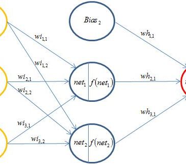
In this post we will discuss a popular class of neural networks, Artificial Feedforward Neural Network (ANN) which consists of input data, one or more hidden layers consisting of processing units and an output layer which returns the value of an estimated target value. An example of a processing unit is shown below. The processing … More Artificial Neural Network with Backpropagation Training in VBA

Historical Analogs/ Time Series Clustering in Excel

A very useful approach to analyzing price action of a particular security is to search historical instances where price exhibited similar behaviour. This type of analysis has often been called historical analogs by some writers. Below we will show a simple example that is easy to implement in excel. The aim is to select a … More Historical Analogs/ Time Series Clustering in Excel